Кеплер против Ньютона. Часть 1
Если полистать какой-либо учебник по астрономии, то в нём можно найти лишь один закон небесной механики, который чётко выражается формулой — это Третий закон Кеплера.
Вот один из таких учебников.
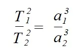
Э.В. Кононович, В.И. Мороз «Общий курс астрономии», страница 68:
«Третий свой закон Кеплер записал так:

где Т1 и Т2 — сидерические периоды обращений планет, а а1 и а2 — большие полуоси их орбит».
Многие на это могут мне возразить, напомнив о законе всемирного тяготения.
Отвечу.
Да. В этом учебнике закон всемирного тяготения тоже присутствует.
Но.
Во-первых, я уже приводил свой анализ книги Ньютона, в которой он, якобы, вывел этот закон. Ничего он там не вывел.
А во-вторых, я ниже покажу, как можно из Третьего закона Кеплера «вывести» закон всемирного тяготения.
Кстати, в книге «Иоганн Кеплер ( 1571 — 1630 ): У истоков современной астрономии» автор Ю.А. Белый на странице 92 пишет:
«Третий закон был опубликован Кеплером .. в 1619 г. в книге .. «Гармония мира»».
А книга Ньютона «Математические начала натуральной философии» вышла в 1686 году. В ней автор не использовал выводов Кеплера. Почему-то.
Продолжим.
Я предлагаю несколько видоизменить запись Третьего закона.
Если иметь ввиду, что T=1/v, 2πv=w (где v – это частота, а w — угловая скорость), и перенеся в левую часть формулы параметры первой планеты, мы получим следующую формулу:

Если мы запишем эту формулу в общем виде, то есть уберём индексы, а так же обозначим нашу константу символом Э, то формула примет окончательный вид:
w2 * R3 = Э
В этой формуле я заменил символ a на R.
Для пущей важности, а так же в целях общего развития я решил составить следующую таблицу:
Солнечная система
|
Планета |
Большая полуось, м |
Орбитальная скорость, м/с |
Э, м3/с2 |
|
Меркурий |
5,8E+10 |
4,8E+4 |
1,327E+20 |
|
Венера |
1,0E+11 |
3,5E+4 |
1,327E+20 |
|
Земля |
1,5E+11 |
3,0E+4 |
1,327E+20 |
|
Марс |
2,3E+11 |
2,4E+4 |
1,327E+20 |
|
Юпитер |
7,8E+11 |
1,3E+4 |
1,330E+20 |
|
Сатурн |
1,4E+12 |
9,7E+3 |
1,346E+20 |
|
Уран |
2,9E+12 |
6,8E+3 |
1,334E+20 |
|
Нептун |
4,5E+12 |
5,4E+3 |
1,330E+20 |
|
Плутон |
5,9E+12 |
4,7E+3 |
1,286E+20 |
|
Среднее: |
1,326E+20 |
Для простоты расчётов я использовал вместо угловой скорости орбитальную скорость планет. В это случае для вычисления нашей Э необходимо использовать формулу V2*R=Э.
Вот ещё одна таблица:
Планетные системы
|
Планета |
Спутник |
Большая полуось, м |
Орбитальная скорость, м/с |
Э, м3/с2 |
|
Земля |
Луна |
3,8E+8 |
1,0E+3 |
4,0E+14 |
|
Марс |
Фобос |
9,3E+6 |
2,1E+3 |
4,3E+13 |
|
Деймос |
2,3E+7 |
1,4E+3 |
4,3E+13 |
|
|
Юпитер |
Ио |
4,2E+8 |
1,7E+4 |
1,3E+17 |
|
Европа |
6,7E+8 |
1,4E+4 |
1,3E+17 |
|
|
Ганимед |
1,1E+9 |
1,0E+4 |
1,3E+17 |
|
|
Каллисто |
1,9E+9 |
8,2E+3 |
1,3E+17 |
|
|
Сатурн |
Титан |
1,2E+9 |
5,6E+3 |
3,8E+16 |
Теперь предлагаю осознать то, чем же моя запись Третьего закона отличается от записи самого Кеплера?
- В записи Кеплера фигурируют четыре параметра, а у меня их три. Стало быть, моя запись более простая, но вместе с тем более ёмкая.
- Данная запись предполагает наличие центра. Обратите внимание на разные величины Э.
- Кеплер использовал в своей записи физическую величину Т — период. В моей же записи вместо неё стоит величина w — угловая скорость вращения. В моей записи вращение, как таковое, явно выражено. Ведь период можно рассматривать и как показатель колебательного процесса.
Таким образом я считаю, что моя запись Третьего закона Кеплера более правильная с мировоззренческой точки зрения.
И эту свою позицию я готов доказать в ближайших выпусках, приведя ещё две известные формулы.